Mengapa Return Reksadana Pendapatan Tetap tidak "Tetap"?
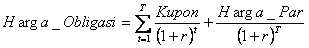
![]() Mungkin ada beberapa di antara Anda yang memiliki reksadana pendapatan tetap(RDPT) sering bertanya-tanya, mengapa return RDPT tiap bulan tidak "tetap" seperti namanya? Bukankah portfolio RDPT adalah obligasi yang notabene memberikan bunga (kupon) secara periodik? Permasalahannya, besar kupon untuk masing-masing obligasi itu berbeda-beda, ada yang besar, ada yang kecil. Logikanya semakin besar kupon yang diberikan, tentu semakin tinggi harga suatu obligasi. Selain itu, jika sebuah obligasi menawarkan kupon yang lebih kecil daripada SBI, apakah kita mau membeli obligasi tersebut dengan harga mahal? Tentu tidak kan? Lebih aman kita menaruh uang kita di SBI yang risikonya lebih rendah dan memberikan return yang lebih tinggi. Lalu mengapa jika suku bunga naik, harga obligasi turun? Jika suku bunga naik, maka selisih bunga obligasi dengan SBI akan semakin kecil sehingga harganya menurun. Secara teoretis, harga sebuah obligasi dapat dihitung sebagai berikut:
di mana : Kupon : bunga yang dibayar secara periodik Harga_Par : jumlah pokok yang akan dikembalikan saat jatuh tempo r : suku bunga acuan (dalam hal ini adalah SBI) T : jumlah periode pembayaran bunga yang tersisa
Cara membacanya : harga suatu obligasi merupakan nilai saat ini dari jumlah kupon dan pokok yang akan diberikan di masa datang. Nilai saat ini dari kupon dan pokok di masa datang akan didiskon oleh suku bunga acuan. Artinya jika pokok yang akan dikembalikan pada saat jatuh tempo adalah 100 pada 3 tahun mendatang, maka nilai saat ini dari pokok tersebut bukan 100 tetapi di bawahnya. Bisa 90, 80, tergantung dari besar suku bunga acuan. Mengapa nilai saat ini lebih kecil dari nilai di masa datang? Karena kita selalu memiliki pilihan untuk menaruh uang kita di SBI dan bukan obligasi. Sekarang mari kita perhatikan perhitungan harga obligasi di atas.
Tentu saja harga yang terjadi sebenarnya di market belum tentu sama dengan harga teoretis karena tiap-tiap investor memiliki pertimbangan mengenai harapan suku bunga acuan ke depan dan kemungkinan sebuah perusahaan yang menerbitkan sebuah obligasi bangkrut. Contoh perhitungan: Kita akan menghitung berapa harga obligasi Bumi Serpong Damai I tahun 2003. Untuk menghitungnya bisa menggunakan microsoft excel dengan formula : PRICE(settlement,maturity,rate,yld,redemption,frequency,basis) di mana :
Data perhitungan adalah seperti di bawah ini :
Terlihat bahwa secara teoretis harga obligasi Bumi Serpong Damai tersebut seharusnya adalah 103.31, namun harga yang terjadi di pasar adalah 102. Hal tersebut wajar saja karena setiap investor tentu memiliki pendangan tersendiri mengenai besarnya suku bunga di masa depan. Saat ini, NAB RDPT dihitung berdasarkan harga terjadi di market(marked to market). Karena itu, berdasarkan pembahasan kita di atas, sudah jelas bahwa return RDPT tidak "tetap" dan sangat mungkin berfluktuasi tergantung harapan besar suku bunga acuan di masa depan. Mohon maaf kalau penjelasannya agak terlalu teknikal karena memang penjelasan yang paling logis yang seperti itu :)
|

Comments
Diversifikasi investasi jangka panjang
Selamat siang pak dunkz,
Terimakasih sekali atas ilmu2 yang telah di sharing. sangat berguna sekali untuk saya yang masih awam dan baru mulai berinvestasi. saya ada pertanyaan pak.. saat ini saya memiliki dana tidak terpakai di deposito dan reksadana saham dengan komposisi deposito:rd saham 80%:20%. dana ini rencananya akan saya gunakan untuk membeli rumah 10 tahun lagi. melihat bunga deposito yang rendah dan tujuan investasi saya yang masih lama, apa sebaiknya semua dana saya letakkan di reksadana saham pak? dari 20% dana tersebut saya letakkan di dua produk reksadana saham dari 2 MI berbeda. apa meletakkan semua dana investasi yg sy miliki di beberapa produk rd yg berjenis saham dapat disebut diversifikasi pak? mohon advise nya ya Pak.
terimakasih,
Penurunan RDPT dan Upgrade Fitur My Reksadana
Ada salah seorang member yang menanyakan kepada saya tentang RDPT, dan saya sangat terusik dengan pertanyaannya. Pertanyaannya adalah "kenapa pendapatan tetap saat ini turun terus sejak bulan Februari 2012, sedangkan BI rate turun, apa ada hubungannya? sampai kapan ini berlanjut terus?"
Pertama-tama, saya terusik karena saya tidak punya teknik monitoring untuk mendeteksi penurunan harga RDPT spt halnya fitur Indikator Bursa. Oleh karena itu, fitur My Reksadana sudah saya upgrade sehingga dapat menampilkan periode 1MO (1 bulan terakhir). Ini membuat saya dapat melihat lebih detail karakteristik penurunan RDPT sebulan terakhir. Setidaknya saya bisa memantau jika terjadi koreksi, tentu agar bisa bersiap top-up.
Dari semua RDPT yang saya pantau, ternyata saya baru menyadari bahwa memang terjadi penurunan yang bervariasi, mayoritas terimbas koreksi yang lumayan, tapi ada juga yang tidak terpengaruh. Return dari RD yang saya bandingkan selama bulan Februari 2012 adl:
Trim Pendapatan Tetap 2 : 1,41%
Shroder Dana Andalan 2 : 0,28%
BNP Paribas Prima 2 : -0,17%
Manulife Obligasi Negara 2 : -0,25%
So saya kemudian penasaran, apa isi jeroan dari RD tersebut. Kalau seperti ulasan bro DewAsmara saat akhir pekan kemarin, "Harga obligasi pemerintah jatuh cukup dalam dan yield menguat drastis. Pasar menilai yield obligasi saat itu sudah terlalu tipis dan tidak lagi menguntungkan." Dugaan saya, RD dengan jeroan obligasi pemerintah lah yang paling kena imbas koreksi.
Sesudah saya buka-buka fund fact sheet produk2 itu (masih pakai per akhir Januari, krn belum terbit data per feb), ternyata dugaan saya benar. RDPT Trimegah berisi obligasi negara dlm proporsi yg sedikit. RDPT Schroder tdk mengungkapkan proporsi, tp obligasi negara yg tertulis hanya ORI006, dan mayoritas sisanya adl obligasi korporasi. Sementara obligasi pemerintah yang ada di RDPT Manulife mencapai 89% dan pada RDPT BNP Paribas mencapai 64%.
Saya tidak hanya melihat kinerja Februari yang minus saja, tapi saya juga pertimbangkan kinerja overall YTD (tahun berjalan, dari januari hingga feb).
Trim Pendapatan Tetap 2 : 3,04%
Shroder Dana Andalan 2 : 0,62%
BNP Paribas Prima 2 : 4,11%
Manulife Obligasi Negara 2 : 4,92%
So walaupun BNP Paribas dan Manulife berkinerja minus pada Februari, namun secara overall oke, dan saya personally bersiap2 untuk top-up. Memang masih akan ada episode harga BBM naik yang bisa jadi akan meningkatkan inflasi (dan mungkin akan meningkatkan suku bunga juga). Saya personally tidak panik namun tetap waspada terhadap faktor2 dapat mempengaruhi kinerja RDPT, ada postingannya di:
http://www.portalreksadana.com/about#comment-10023
http://www.portalreksadana.com/about#comment-10032
Sengaja saya posting ini di thread bro Dunkz, untuk mengangkat postingan terdahulu yang sangat relevan dengan konteks sekarang. Ini juga agar memberikan wawasan bhw walaupun bernama "pendapatan tetap" tapi return belum tentu "tetap".
Semoga bermanfaat.
Bro, yang menentukan naik /
Bro, yang menentukan naik / turunnya NAB RDPT, itu harga obligasi / Yield ya ?
RDPT USD
Bro dunkz's
Mau tanya mengenai RDPT USD, sebenarnya bagaimana pandangan anda mengenai RDPT USD? apakah cukup menguntungkan kalau saya membeli salah satu dari produk ini? return nya kecil sekali, walaupun bila dibandingkan dengan deposito masih lebih bagus. Mohon pencerahannya. Saya kebetulan punya sedikit dana USD yg sayang kalau di dijadikan rp. thank you so much
Bagaimana cara membaca prospektus?
Maap mungkin pertanyaan saya sangat dasar karena saya baru mulai belajar..
Misalnya saya invest di sebuah produk RD sebesar Rp. 10.000.000.
Cara membaca laporan RD gimana ya?
Kalau bisa mohon kasih contoh perhitungan sederhana..
Terus terang aja saya masih blank masalah RD apalgi istilah2nya.
Kalu deposito mungkin saya bisa hitung sendiri tp kalau reksa dana saya masih bingung karena kebanyakan istilah, grafik, singkatan. :)
Mohon bantuannya..
@ bro dunkz
bro, ane masih mahasiswa semester 4. enaknya ane pantes gak ya punya reksadana?
soalnya mahasiswa kayak ane blom punya pendapatan tetap. ane masih bergantung pada uang saku kiriman ortu. ane kul di jakarta jadi musti nungguin kiriman ortu di semarang.
takutnya kalo udah punya RD jadi bingung ma resiko yang musti di tanggung.
tapi bro, ane punya asumsi. ane masih muda, mumpung masih muda jadi ane manfaatin tabungan sisa kiriman bulanan buat beli reksadana.
ane pilih reksadana saham syariah di mandiri ma pnm. ane juga pikir, kenapa gak berani ambil resiko? secara prinsip kan ane masih muda.
mohon pencerahannya bro dunkzz? plisss
@abucyber
Ya pantes2 aja lah. Kalau takut dengan risikonya, coba ambil yang RDPT atau RDC. ada sih RDC yang bagus. Tapi bagusnya pm aja ya.
Amankah RDPT untuk pendidikan anak?
dear suhu dunkz,
umur saya 35tahun, saya baru ikut RDS 3 bulan dengan tujuan untuk pendidikan anak dan pensiun (tadinya tabungan pendidikan). Apakah perlu saya pindahkan sebagian ke RDPT atau RDPU? Saya pernah membaca tulisan anda untuk lebih berhati-hati mempersiapkan dana pendidikan anak. Anak saya umur 4 dan 7 tahun, untuk SD dan SMP dana sudah ada, tinggal untuk SMA dan Univ. Pertimbangan saya memilih RDS karena masih lama. Emas dan ORI saya sudah punya walaupun sedikit. Bagaimana cara memilih RDPT yang bagus?
Mohon nasehatnya, terimakasih.
@sereno
Pak Sereno, jika diasumsikan anak masuk SMA umur 16 th, maka Anda memiliki waktu 9 tahun untuk persiapan biaya sekolah anak pertama dan 12 th untuk anak kedua. Mungkin sebaiknya dipertimbangkan berapa besar return tahunan yang harus didapatkan sehingga tujuan (biaya pendidikan) tercapai.
Jika dengan hanya RDPT sudah bisa tercapai, mengapa harus masuk ke RDS yang risikonya lebih tinggi? Kalau tidak bisa hanya dengan RDPT, coba RDC kemudian kita lihat lagi. Bisakah tujuan tersebut terpenuhi dengan RDC. Kalau belum bisa juga mau tak mau baru kita nyemplung ke RDS.
Secara umum, kriteria memilih RDPT yang bagus sebenarnya sama dengan RD yang lain. Hanya ada beberapa kekhususan yang harus kita perhatikan:
Pertanyaan-pertanyaan tersebut mungkin bisa menjadi acuan kita dalam memilih produk RDPT.
persiapan sekolah anak
suhu dunkz, terima kasih banyak masukannya.
saya sudah plan pendidikan anak di fitur "my plan" di portal kita ini (thanks bro autogebet) dan saya cukup kaget dengan setoran bulanan untuk univ anak2 saya. Sampai saat ini saya belum bisa memenuhi standart tsb, karena penghasilan saya gak cukup.
rinciannnya sbb:
Anak ke-1 (7 tahun) :
1. SMA:waktu tersedia 8 th, biaya sekarang 50 juta,return 15%, inflasi 20%, dana yang sudah ada 20 juta, setoran bulanan 790 ribu.
2. Univ: waktu tersedia 11th, biaya sekarang 250 juta, return 15%, inflasi 15%, dana yang sudah ada 20 juta, setoran bulanan 3,5 juta
Anak ke-2 (4 tahun)
1. SMA : waktu tersedia 11 th, biaya sekarang 50 juta, return 15%, inflasi 20%, dana yang sudah ada 25 juta, setoran bulanan 790 ribu
2. Univ : waktu tersedia 14 th, biaya sekarang 250juta, return 15%, inflasi 15%, dana yang sudah ada 25juta, setoran bulanan 3,2juta.
Karena saya belum bisa menabung sebanyak ini, makanya saya sedikit2 membeli emas, ORI, RDS, dan RD Index.
RDPT saya punya juga tapi cuma 1 tapi tujuannya bukan untuk pendidikan, untuk renovasi rumah. Saya pilih MI yang terkenal dan jarang mengecek hasilnya. Sedangkan RDPU karena menurut saya untuk jangka pendek, jadi untuk keperluan membeli emas atau barang saya simpan disini dulu.
Untuk RDC saya gak tertarik karena ada yang bilang reksadana banci, returnnya lebih rendah dari saham tapi resikonya sama dengan saham. Makanya gak saya sentuh. Bagaimana menurut anda?
Mohon masukannya bro dunkz. terima kasih.
Anak@sereno
+Kalau menilai RDC sebaiknya lihat & bandingkan sendiri faktanya,dan jangan cuma kata orang. Itu baru masuk akal.
+Jika usia anak anada masih 4 & 7th,msh banyak cara investasi lain yg bisa dilakukan,murah meriah & menjanjikan sekali,mau tahu inilah yg sdh kami buktikan pd anak kami sendiri : investasi pd anak itu sendiri. Jaga-didik-berikan atensi-makanan bergizi-pilih sekolah yg baik-perhatikan teman main & lingkungannya. Sepele & murah kan ? Tapi tdk mudah melakukannya,perlu pengorbanan waktu+enersi / kerjasama istri apalagi.Mau tahu hasilnya? Sejak SMU smp kelar S1 praktis dia bayar sendiri,NEMnya selalu tinggi-beasiswa datang dr kantor.Pd usia 21 sdh lulus dgn IPK >3 + toefl 590 dia langsung dgn mudah kerja.Investasi model begini jauh lebih menjamin-krn pd saat kecil dia juga ditutup asuransi pendidikan selama 14th,yg hasilnya ketika due date nilainya habis dimakan inflasi.Belum genap 24th kini dia sdh memiliki 2 RDC dgn nilai cukup besar dr gajinya sendiri. Nah,silahkan mencoba semoga berhasil.
Masukan jempolan! Terima
Masukan jempolan! Terima kasih Pak Agus.
@Agus Mulia
Terima kasih banyak masukannya pak Agus, investasi yang hebat!
@Pak Sereno
Memang terlihat sangat besar jika kita perhitungkan saat ini.
Ada satu hal yang terkadang terlewatkan. Pendapatan kita akan sangat mungkin meningkat. Logikanya begini, dengan tingkat inflasi 10%, maka UMR yang sekarang sekitar 700rb akan menjadi 1,8jt. Jadi 10 tahun lagi memang standar gaji kemungkinan meningkat.
Jadi memang sebaiknya jangan pesimis dahulu :)
Thanks suhu dunkz
terima kasih supportnya suhu dunkz
saya sungguh beruntung bisa dicerahkan oleh bro dunkz.
ohya tentang RDC, apakah menurut anda saya perlu memindahkan sebagian dana pendidikan dari RDS ke RDC?
bagaimana caranya memilih RDC yang bagus?
Dengan kondisi sekarang
Dengan kondisi sekarang sebenarnya cukup baik untuk berinvestasi di RDS. Sayangnya kenaikannya akan terhambat oleh inflasi. RDC bisa merupakan alternatif yang baik, akan tetapi tentu potensi returnnya lebih kecil.
RDC sendiri ada bermacam-macam. Ada yang kebijakan alokasi portfolionya cenderung ke RDPT, dan ada yang cenderung ke RDS. Pada intinya cek kembali prospektus untuk menyesuaikan dengan profil risiko Bapak.
terima kasih suhu dunkz
ok deh, terima kasih banyak suhu dunkz.
saya akan rajin baca2 prospektus RDC.
semoga petunjuk2 bro dunkz bisa membuat kita semua menuju kebebasan finansial.
maju terus suhu dunkz, God bless u.
Tanya tentang my plan
Mohon bimbingannya,,sebelumnya saya masih baru dalam forum ini
saya membca tulisan pak sereno dan tanggapan lainnya dan ada yg menyinggung masalah plan jangka panjang.
yg saya ingin tanyakan membca angka hasil output tools my plan bagaimana kok hasilnya aneh sekali berikut saya tampilkan outputnya:
Tujuan :Membeli Motor
Jangka Waktu (Tahun) :3
Nominal (Rp) : 20.000.000
Target Return Investasi : 25%
Setoran Investasi Bulanan (Rp) : 65.587.442.316.378 (?!? Ini yg saya bingung)
Total Setoran : 65.587.442.316.378 (?!? dan juga ini)
Terima kasih
-a.marhadi
@amarch
Mungkin ada kesalahan saat memasukkan data. Saya sudah mencoba dan hasilnya adalah sbb:
Tujuan :Membeli Motor
Jangka Waktu (Tahun) :3
Nominal (Rp) : 20.000.000
Target Return Investasi : 25%
Setoran Investasi Bulanan (Rp) : 499.912
Total Setoran : 499.912
Mungkin saat memasukkan nominal menggunakan pemisah "." . Sepertinya tidak usah dipakai.
Numpang tanya sekalian
Para suhu, mohon pencerahan...
untuk RDPT saya pernah mempertimbangkan milik bank2 plat merah. pertimbanganya mudah pembelian tetapi untuk kinerjanya lagi terus analisis karena kelihatnnya pertimbngan syariah nggak ya?
Numpang tanya --> untuk pembelian emas (tentu yang latakan n bukan perhiasan) bisa dilakukan pembelian dimana ya... maaf masih katrok banget saya. saya tertarik dengan emas dalam waktu dekat ini. Terima kasih sebelumnya.
Bangun ekonomi dengan cara Syariah
bhayareksa
Investasi emas
Bro/sis, investasi emas memang salah satu alternatif untuk investasi jangka panjang. Tapi tetap ada resikonya.
Sebelum anda berinvestasi emas, ada baiknya anda membaca dulu artikel di Mingguan Kontan, Minggu II Mei 2008: Kemilau logam mulia mulai meredup?
Kalau anda tetap yakin akan prospek investasi emas, silahkan investasi, tapi tetaplah pertimbangkan resiko yang akan dihadapi.
Selamat berinvestasi.
dimana beli logam mulia di Bali?
Dear Rekan Milist
Saya berdomisili di Bali.Saya tertarik untuk beli emas untuk investasi.apa ada rekan yg tau diman saya bisa membelinya?
MOhon info and sarannya
Salam
Wayan
matur Thankyou
Trima kasih suhu sayogo atas pencerahannya. Saya juga lagi wait n see lihat terus turunnya harga emas yang menurut saya penetrasi pasar atas kegiatan mas IMF lagi bonkar gudang sebanyak 400ton emas yg katanya dipakai untuk "APBN-nya" dia. Denger-denger baru terealisasi 30% (gosipnya nih) so penurunan mungkin masih akan terus terjadi. Mereka bilang "emas lagi seperti bintang berduri". Kasihan juga saya mendengar ada orang jual rugi 2kg emas yg katanya waktu beli seharga 300rb/gr pd waktu2 terakhir ini.
Saya juga heran dengan harga minyak yg sudah dekat 125$ tapi gold terus turun --> apakah sekarang market logam mulia pisah ranjang dengan dunia investasi?
Bangun ekonomi dengan cara Syariah
bhayareksa
beli emas antam
mas bhayareksa, anda bisa beli emas koin atau lempengan bersertifikat di antam pulogadung jakarta. Ada juga toko emas yang jual emas antam, tapi biasanya lebih mahal daripada kita beli langsung di antam.
selamat berinvestasi!
antam
Hari minggu kemarin, ditawarkan oleh toko emas di pasar dkt rumah. Mereka jual 265rb untuk Lm antam. Mereka kasih lihat yg Koin 5gr sih...
trus, bukan rahasia umum, kalau kita telp langsung ke antam.
Jawaban mereka selalu tidak ada stock lagi....hehehe.coba deh lihat di forum sebelah.
Cheers.
matur suwun
terima kasih infonya bro. Emas antam apa dijual disemua cabang antam diluar jakarta? disurabaya or jember misalnya? maklum bro, kita hidupnya dipedesaan...so carinya rada susah.
Untuk RDPT saya sudah dapat gambaran MDPT punya B.Mandiri (bukan promosi lo bro autogebet). sebenernya MDPT ini lagi turun terus tetapi menurut saya hanya efek swing ke RDS yg emang lg kinclong so kesempatan bagus buat kolek RDPT . Memang sebaiknya bro lihat prospektus & pastikan keputusan berdasar financial daripada sekadar emosi saja.
Bangun ekonomi dengan cara Syariah
bhayareksa
lokasi antam
Saya baca bukunya Mohamad Ihsan Palaloi yg judulnya Kemilau Investasi Emas, lokasi antam cuma ada 2 yaitu di jakarta dan surabaya. Alamatnya yg di surabaya di Jl Raya Bubutan 98, telpon 031-5451034. Coba juga tanya2 toko emas dikota anda yang ramai dikunjungi, dan tanya apakah mereka jual emas yang bersertifikat antam.
stock kosong
Terima kasih supportnya,
tetapi nomor teleponnya sudah ganti plus kata mereka stock lagi kosong untuk semua type (gram) selama 1,5bulan terakhir. Apakah kejadian stock emas kosong begini juga pernah terjadi di jakarta? --> juga bisa jadi ndikasi harga emas bakal melambung?
Bangun ekonomi dengan cara Syariah
bhayareksa
tanya
bro itu koin dinarnya kandungan emasnya sama kyk koin yg dikeluarin antam gak???trus klo misal mau jual lagi apa harus di wakala juga atau bisa di tempat lain dgn harga emas yg berlaku saat itu????